1. 人工智能技术概述
1.2 人工智能的发展历史

#### Timeline
### 计算简史
- 古代
- 近代与近现代
- 现代和当代
### 古代
- 古希腊, Antikythera Mechanism, 安提基特拉机械
- 古中国, 列子·汤问, 偃师造人
- 古中国, 水动机械
- 古土耳其, Al-Jazari

#### Antikythera Mechanism

#### Antikythera Mechanism

#### Antikythera Mechanism

#### 列子·汤问 偃师造人

#### 中国古代的水力机械

#### 中国古代的水力机械

#### Ismail Al-Jazari (1136 - 1206)
### 近代与近现代
- 法国, Blaise Pascal 机械计算机
- 法国, Pierre Jaquet-Droz 自动人偶
- 法国, Joseph Marie Jacquard 提花织布机
- 英国, Charles Babbage & Ada Lovelace 分析机和差分机

#### Blasise Pascal Calculator

#### Pierre Jaquet-Droz Automata

#### Pierre Jaquet-Droz Automata

#### Jacquard Loom

#### Jacquard Loom

#### Babbage Difference Engine

#### Babbage Analytical Engine

#### Ada Lovelace
### 现代和当代
- 英国, Turing Machine, Turing Test
- 美国, ENIAC, UNIVAC I
- 美国, IBM PC
- 英国, World Wide Web
- 美国, Deep Blue
- 英国, AlphaGo
- 美国, ChatGPT

#### Alan Turing

#### Turing Machine

#### Turing Test

#### Electronic Numerical Integrator And Computer

#### UNIVersal Automatic Computer 1

#### IBM Personal Computer

#### Tim Berners-Lee

#### The First World Wide Web Server

#### Deep Blue from IBM

#### AlphaGo from DeepMind

#### Sam Altman from OpenAI
### AI 英雄榜
- Marvin Minsky, JohnMcCarthy, 基于表示和推理 (1969, 1971)
- Allen Newell, Herbert Simon, 问题求解, 符号模型 (1975)
- Edward Feigenbaum, Raj Reddy, 专家系统 (1994)
- Geoffrey Hinton, Yann LeCun, Yoshua Bengio 深度学习 (2018)

#### ACM A.M Turing Award (Turing Bowl)

#### Geoffrey Hinton, Yann LeCun and Yoshua Bengio
### AI 的诞生与发展
- AI 的诞生 (1943-1956)
- 第一波浪潮 (1952-1969)
- 第一次寒冬 (1966-1973)
- 专家系统 (1969-1986)
- 神经网络回归 (1986- )
- 概率推理和机器学习 (1987- )
- 大数据 (2001- )
- 深度学习狂潮 (2011- )
- 大语言模型 (2020- )
### AI 的诞生 (1943-1956)
- Warren McCulloch, Walter Pitts, 人工神经元
- Donald Hebb, Hebbian Learning
- Marvin Minsky, Dean Edmonds, SNARC, 40 个神经元构成的网络
- Arthur Samuel, 跳棋程序
- Alan Turing, 图灵机和图灵测试
- Dartmouth Summer Research Project on Artificial Intelligence
- Logic Theorist

#### Warren McCulloch and Walter Pitts

#### Neuron

#### McCulloch-Pitts Model

#### Donald Hebb

#### SNARC by Marvin Minsky and Dean Edmonds

#### Arthur Samuel and Checkers

#### Alan Turing

#### Dartmouth Summer Research Project on Artificial Intelligence

#### Newell and Simon and Logic Theorist
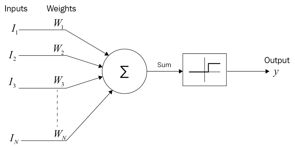
### 第一波浪潮 (1952-1969)
- "Look, Ma, no hands!"
- Newell and Simon, General Problem Solver
- John McCarthy, Lisp
- Marvin Minsky, Blocks World
- Frank Rosenblatt, Perceptron (感知机)

#### Perceptron Mark1 Diagram

#### Perceptron Mark1
### 第一次寒冬 (1966-1973)
- 使用范围有限
- 能解决的问题简单
- 未能帮助工业发展
- Lighthill Report, 1973

#### James Lighthill, Author of Lighthill Report
### 专家系统 (1969-1986)
- Dendral, The First Knowledge-intensive System
- Expert Systems
- MYCIN, About 450 Rules
- DEC, R1, 1982
- Market: A Few Million (1980) - billions (1988)
### 神经网络回归 (1986-)
- 反向传播算法, Back-propagation
- 联结主义重新抬头, Connectionist
- 流畅而不精确
- 从样本中学习

#### Back-propagation
### 概率推理和机器学习 (1987-)
- 研发的基准: 数据集和竞赛
- Hidden Markov Model, HMM
- Bayesian Network
- Reinforcement Learning & Markov Decision Processe

#### ViaVoice from IBM
### 大数据 (2001- )
- 大力出奇迹
- 自然语言理解
- 计算机视觉
- IBM, Watson
- 数据集成为 AI 的重要基础

#### IBM Watson Defeats Humans in "Jeopardy!"

#### Dataset of GPT-3
### 深度学习狂潮 (2011- )
- 人多力量大
- 多层神经网络
- 卷积神经网络, Convolution Neural Network
- 循环神经网络, Recurrent Neural Network
- 算法和算力成为 AI 的重要基础

#### Deep Learning

#### GPU Server
### 大语言模型 (2020-)
- Transformer Model
- RLHF, Reinforcement Learning from Human Feedback
- Parameter War: 0.3B, 1.5B, 175B, 540B, 1200B

#### Parameter War

#### Parameter War
### 今天
- Stanford AI100 and AI Index
- "前所未有之大变局"
- Artificial Narrow Intelligence, ANI
- Artificial General Intelligence, AGI
- Artificial Superintelligence, ASI
- 我们该如何看待 AI?

#### AI Revolution
### 1.2 人工智能的发展历史
- 你认为, 在 AI 的发展过程中有哪些里程碑?
- 你认为, AI 的发展方向是逻辑主义还是联结主义?
- 你认为, ASI 会实现吗? 请找到足够证据来佐证你的想法.
- 你认为, 明年的 AI 会发展到什么程度? 请尽量量化.
----
[ 1.1 人工智能的概念与基础 ](ita-1-1.html)
[| 练习 |](ita-exec.html)
[ 1.3 人工智能的技术流派 ](ita-1-3.html)